一封手写的感谢信,是一份大写的肯定!
近日,成都市金牛区公安分局主要领导收到了一封手写感谢信,信中就分局北巷子派出所副所长邓力带领同事徐海帮助自己的母亲追回被盗手机一事,向金牛公安表达真挚的感谢。


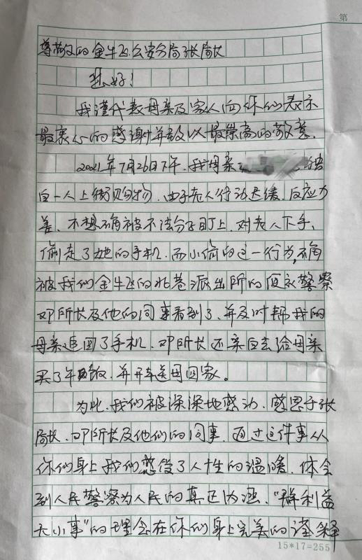
信中提到,“通过这件事,从你们身上我们感受到人性的温暖,体会到人民警察为人民的真正内涵。‘群众利益无小事’的理念在你们身上完美诠释,‘老吾老以及人之老’的传统美德在你们身上弘扬,我们将以你们为榜样,努力工作,乐于助人。”
此前消息:
前几日,邓力与徐海驾车路过金科西路,发现一名站在公交站台人群中手提购物包的男子十分可疑,便立即将汽车停在不远处下车观察。当公交车驶来停靠在站点,群众开始陆续上车时,该男子紧跟在一名年龄约70多岁行动迟缓的太婆身后,用右手将所携带的购物包挡在太婆后背的双肩包处,用左手伸进双肩包内将一部手机偷走,男子转身离开时被邓力现场挡获并带回派出所。

做完笔录后已是中午,邓力为太婆买来午饭,吃完后开车将其送回位于迎宾大道的家中。
两天后,太婆的儿子寄来感谢信,信中质朴的言语承载着发自肺腑的感谢之情,这正是对北巷子派出所“我为群众办实事”的充分肯定。
北巷子派出所在开展“我为群众办实事”实践活动以来,始终把“人民公安为人民”作为工作的出发点和落脚点,全心全意为人民做好事、办实事、解难题,赢得了群众的一致好评。
看度记者:林铎
版面编辑:何佳昕
责任编辑:何静

川公网安备 51019002000745号

评论